影響鍋爐冷卻水流量計誤差的因素及不確定度分析
點擊次數:2788  發布時間:2021-09-04 02:03:33
	 
		摘要:針對目前鍋爐冷卻水流量計的廣泛應用,簡要介紹影響鍋爐冷卻水流量計示值誤差的不利因素以及對其不確定度的分析。
如果在實驗室進行檢定校準,以上這些不利因素就可以有效地減輕甚至避免,下面將在實驗室環境下和模擬現場環境下對同一鍋爐冷卻水流量計進行不確定度的分析。
依據JJG1033-2007《鍋爐冷卻水流量計檢定規程》,選定一臺DN100mm鍋爐冷卻水流量計作為校準對象,測量標準和主要配套儀器設備為DN(80-250)mm水流量標準裝置,不確定度為0.066%(k=2)。
2.2 數學模型
2.2.1 體積流量計算
由于水的體積壓縮系數很小,當壓力變化不是很大時,可將水看做是不可壓縮的流體,因此由標準裝置得到的水的體積流量為:

2.2 流量計誤差
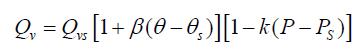
鍋爐冷卻水流量計準確度的表示方法有三種:相對示值誤差、滿量程引用誤差、相對示值誤差與滿量程引用誤差相結合。因為針對一個固定的流量點誤差總可以用任一種方式表述,而流量計量中,相對示值誤差應用場合較多,所以下面的分析均采用相對示值誤差的表示方法。

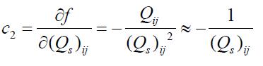
2.3 靈敏系數
靈敏系數C的表達式為:

2.4 各分量標準不確定度評定
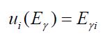
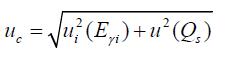
標準不確定度的來源主要有兩個方面:由被校流量計測量重復性引入的不確定度分量u(Er)和標準裝置引入的不確定度分量u(Qs)。
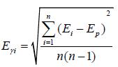
2.4.1 被校流量計測量重復性引入的不確定度分量u(Er)的評定DN100mm鍋爐冷卻水流量計,其流量范圍為(4~45)m3/h,各測量點測量重復性按下式計算:

從表中已得出各測量點的Eri值。為此每個流量點由測量重復性引入的不確定度為:

2.4.2 標準裝置引入的不確定度分量u(Qs)的評定
本分量主要由標準裝置引入的,其不確定度來源主要有計時器頻率穩定度、標準工作量器的不確定度、換向器的累計時間、溫度變送器的誤差、壓力變送器的誤差等引入的。黑龍江省計量檢定測試院檢定該裝置時已將上述各項不確定因素考慮在內,在檢定**上已給出擴展不確定度為U=0.066%(k=2)。則標準裝置引入的不確定度分量為:

2.5 合成相對標準不確定度Uc的評定合成相對標準不確定度Uc的評定

2.6 擴展不確定度的評定
取包含因子k=2時,則擴展不確定度結果如表1:

通過在實驗室條件下對該流量計的檢定,符合流量計的等級標準,下面將模擬現場安裝條件來對該流量計進行檢定。


		
		
淺析冷卻水塔水流量計在化工企業水源節能中的安裝與使用 
淺析工藝冷卻水流量計在安裝使用的環境條件要求 
冷凍機冷卻水流量計的安裝條件及注意的問題 
水冷壓縮機冷卻水流量計的測量介質的流體特性 
易粘易堵強腐蝕性液體對模具冷卻水流量計精度的影響 
基于冷卻水流量計的電極干擾信號仿真研究 
關于空調冷卻水流量計的運行原理及應用領域解析 
如何防止工業應用中高爐冷卻水流量計腐蝕問題減少不利損失 
冷卻水流量計在污水流量測量中有什么優勢 
選用管道式冷卻水塔水流量計時要注意哪些選型事項 
循環冷卻水流量計在實際應用中的故障分析思路及解決方法 
注塑機循環冷卻水流量計在鍋爐給水調節上應用中缺點和優勢 
工業循環冷卻水流量計在有限流動水域浮體結構對水流結構的影響 
因環境方面引起的工業循環冷卻水流量計故障的主要原因 
影響鍋爐冷卻水流量計誤差的因素及不確定度分析 
淺析連鑄機軸承座冷卻水流量計在化工污水處理廠的應用 
冷卻塔冷卻水流量計的特點及未來四個方面的發展趨勢 
工業循環冷卻水流量計使用中低噪音的信號電纜結構設計說明 
淺析大口徑采煤機冷卻水流量計安裝時需要注意的技術要領 
冷卻水流量計的漂移產生的原因及有效去除的三個方法 
冷卻水流量計的外部電磁干擾及電磁兼容性分析 
正確處理冷卻水流量計測量過程中液體均勻混合問題 
鍋爐冷卻水流量計,循環冷卻水流量計 
空調冷卻水流量計,模具冷卻水流量計 
冷卻水流量表,冶煉爐冷卻水流量計 
冷卻水流量表,空調冷卻水流量計 
冷卻水流量表,模具冷卻水流量計 
模具冷卻水流量計,鍋爐冷卻水流量計 
模具冷卻水流量計,注塑機冷卻水流量計 
冷卻水流量計價格 
		
		- 引言
如果在實驗室進行檢定校準,以上這些不利因素就可以有效地減輕甚至避免,下面將在實驗室環境下和模擬現場環境下對同一鍋爐冷卻水流量計進行不確定度的分析。
- 實驗室條件下的不確定度分析
依據JJG1033-2007《鍋爐冷卻水流量計檢定規程》,選定一臺DN100mm鍋爐冷卻水流量計作為校準對象,測量標準和主要配套儀器設備為DN(80-250)mm水流量標準裝置,不確定度為0.066%(k=2)。
2.2 數學模型
2.2.1 體積流量計算
由于水的體積壓縮系數很小,當壓力變化不是很大時,可將水看做是不可壓縮的流體,因此由標準裝置得到的水的體積流量為:

2.2 流量計誤差
鍋爐冷卻水流量計準確度的表示方法有三種:相對示值誤差、滿量程引用誤差、相對示值誤差與滿量程引用誤差相結合。因為針對一個固定的流量點誤差總可以用任一種方式表述,而流量計量中,相對示值誤差應用場合較多,所以下面的分析均采用相對示值誤差的表示方法。

2.3 靈敏系數
靈敏系數C的表達式為:

2.4 各分量標準不確定度評定
標準不確定度的來源主要有兩個方面:由被校流量計測量重復性引入的不確定度分量u(Er)和標準裝置引入的不確定度分量u(Qs)。
2.4.1 被校流量計測量重復性引入的不確定度分量u(Er)的評定DN100mm鍋爐冷卻水流量計,其流量范圍為(4~45)m3/h,各測量點測量重復性按下式計算:

從表中已得出各測量點的Eri值。為此每個流量點由測量重復性引入的不確定度為:

2.4.2 標準裝置引入的不確定度分量u(Qs)的評定
本分量主要由標準裝置引入的,其不確定度來源主要有計時器頻率穩定度、標準工作量器的不確定度、換向器的累計時間、溫度變送器的誤差、壓力變送器的誤差等引入的。黑龍江省計量檢定測試院檢定該裝置時已將上述各項不確定因素考慮在內,在檢定**上已給出擴展不確定度為U=0.066%(k=2)。則標準裝置引入的不確定度分量為:

2.5 合成相對標準不確定度Uc的評定合成相對標準不確定度Uc的評定

2.6 擴展不確定度的評定
取包含因子k=2時,則擴展不確定度結果如表1:

通過在實驗室條件下對該流量計的檢定,符合流量計的等級標準,下面將模擬現場安裝條件來對該流量計進行檢定。
- 實驗室條件下的不確定度分析

- 結論

- 結束語
下一篇:生活污水流量計,污水流量計廠家



